The table below shows the complete list of M&C parameters the ACU knows in alphabetical order. For each parameter the valid range and a short description is given.
| name | range | unit | description | |
|---|---|---|---|---|
| aabw | r/o | ° | AZ antenna 3dB beamwidth | |
| aalt | 0 .. 8000 | m | Antenna abs. altitude | |
| aamp | r/o | % | AZ Amplitude | |
| acal | -3600.000 .. 3600.000 | ° | AZ Calibration offset | |
| aclc | ° | Calculate offset from Az. value | ||
| acoe | r/o | see below | - | |
| acou | -180.000 .. 180.000 | ° | Antenna course | |
| addr | A B C D E F G NONE | - | RS485 address | |
| ahys | 0.000 .. 2.000 | ° | AZ Pointing hysteresis | |
| ainv | NORMAL INVERTED | - | AZ Sense invert | |
| ajtr | r/o | % | AZ Peaking jitter | |
| alat | -90.000 .. 90.000 | °N | Antenna latitude | |
| alon | -180.000 .. 180.000 | °E | Antenna longitude | |
| amax | -3600.000 .. 3600.000 | ° | AZ Upper limit | |
| amdt | r/o | character string | AZ Model type | |
| amin | -3600.000 .. 3600.000 | ° | AZ Lower limit | |
| ammx | SMALL MEDIUM LARGE | - | AZ Maximum model type | |
| amnt | AZ-OVER-EL POLAR | - | Antenna mount type | |
| amot | DUAL-START DIR-START NONE | - | AZ Motor driver type | |
| aofs | ######## | AZ Pre scale offset | ||
| apos | r/o | -180.000 .. 180.000 | ° | AZ Pointing |
| araw | r/o | 00000000 .. FFFFFFFF | AZ raw pointing | |
| asca | 0.000000 .. 100000.000000 | AZ Calibration scale | ||
| asen | SSI-13B SSI-13G SSI-17B SSI-17G SSI-18B SSI-18G SSI-19B SSI-19G SSI-20B SSI-20G SSI-24B SSI-24G RESOLVER VOLTAGE NONE | - | AZ Position sensor type | |
| asth | 0.0 .. 10.0 | ° | AZ Low speed threshold | |
| astp | 0.000 .. 90.000 | ° | AZ Step delta | |
| atar | -180.000 .. 180.000 | ° | Az. target value | |
| atot | 0 .. 32000 | msec | AZ Motor timeout | |
| atsz | r/o | ° | AZ tracking step size | |
| autr | DISABLED ENABLED | - | SNMP traps | |
| auxo | see below. | - | AUX output switch command | |
| axmd | PARALLEL SEQUENTIAL | - | Axes control mode | |
| babs | r/o | #.## | dBm | Beacon level (absolute) |
| bavg | 1 .. 25 | samples | Level averaging | |
| bcfr | 1000.000 .. 40000.000 | MHz | Beacon RX frequency | |
| bcip | aaa.bbb.ccc.ddd | - | Beacon RX IP address | |
| bclc | Calculate level offset | |||
| bcof | -200.00 .. 0.00 | dBm | Beacon RX 0V level | |
| bcsc | -5.0000 .. 5.0000 | V/dB | Beacon RX voltage scale | |
| bcty | SATNMS,VOLTAGE | - | Beacon RX type | |
| blev | r/o | #.## | dBm | Beacon level |
| bofs | #.## | dB | Level offset | |
| brip | r/o | #.## | dB | Beacon level ripple |
| btrh | -999.00 .. 100.00 | dBm | Level threshold | |
| caps | r/o | 00 .. FF | - | Software capabilities 1) |
| cmod | DISABLED,ENABLED | - | Linear/Circular switch | |
| coty | NONE | - | Compass type 2) | |
| cpos | r/o | LINEAR CIRCULAR SWITCHING INVALID | - | Lin/Crc switch position |
| ctar | LINEAR CIRCULAR UNKNOWN | - | Linear / circular switch | |
| decl | -90.000 .. 90.000 | ° | Antenna declination | |
| dele | 0 .. 99 | - | Delete target | |
| diaa | 0.0 .. 100.0 | m | AZ Antenna diameter | |
| diae | 0.0 .. 100.0 | m | EL Antenna diameter | |
| eabw | r/o | ° | EL antenna 3dB beamwidth | |
| eamp | r/o | % | EL Amplitude | |
| ecal | -3600.000 .. 3600.000 | ° | EL Calibration offset | |
| eclc | ° | Calculate offset from El. value | ||
| ecoe | r/o | see below | - | EL model coefficients |
| ehys | 0.000 .. 2.000 | ° | EL Pointing hysteresis | |
| einv | NORMAL INVERTED | - | EL Sense invert | |
| ejtr | r/o | 0 .. | % | EL Peaking jitter |
| emax | -3600.000 .. 3600.000 | ° | EL Upper limit | |
| emdt | r/o | character string | - | EL Model type |
| emin | -3600.000 .. 3600.000 | ° | EL Lower limit | |
| emmx | SMALL MEDIUM LARGE | - | EL Maximum model type | |
| emot | DUAL-START DIR-START NONE | - | EL Motor driver type | |
| eofs | ######## | - | EL Pre scale offset | |
| epoc | r/o | - | Model epoch | |
| epos | r/o | 0.000 .. 90.000 | ° | EL Pointing |
| eraw | r/o | 00000000 .. FFFFFFFF | - | EL raw pointing |
| esca | 0.000000 .. 100000.000000 | - | EL Calibration scale | |
| esen | SSI-13B SSI-13G SSI-17B SSI-17G SSI-18B SSI-18G SSI-19B SSI-19G SSI-20B SSI-20G SSI-24B SSI-24G RESOLVER VOLTAGE NONE | - | EL Position sensor type | |
| esth | 0.0 .. 10.0 | ° | EL Low speed threshold | |
| estp | 0.000 .. 90.000 | ° | EL Step delta | |
| etar | 0.000 .. 90.000 | ° | El. target value | |
| etot | 0 .. 32000 | msec | EL Motor timeout | |
| etsz | r/o | ° | EL tracking step size | |
| goto | 0 .. 99 | - | Goto target | |
| gper | r/o | # | - | GPS error status |
| gpsa | r/o | # | - | GPS satellites |
| gpty | NONE | - | GPS receiver type 3) | |
| ibit | 00000000 .. FFFFFFFF | - | Input bits (described below) | |
| icty | NONE | - | Inclinometer type 4) | |
| ipt1 | - | SNMP trap IP 1 | ||
| ipt2 | - | SNMP trap IP 2 | ||
| ipt3 | - | SNMP trap IP 3 | ||
| ipt4 | - | SNMP trap IP 4 | ||
| ivpr | - | Invalid parameter value | ||
| jtrh | 0 .. 100 | % | Peak jitter threshold | |
| mdly | 0 .. 9999 | msec | Measurement delay | |
| mstp | 0 .. 1 | - | 1 stops all motors (STOP at the Web UI) 0 releases the stop (RESET at the Web UI) | |
| nick | r/o | -90.0 .. 90.0 | ° | Nick angle |
| niko | -90.0 .. 90.0 | ° | Nick offset | |
| note | character string | - | Note | |
| obit | 00000000 .. FFFFFFFF | - | Output bits (described below) | |
| orbt | -180.000 .. 180.000 | °E | Orbit position | |
| pcal | -3600.000 .. 3600.000 | ° | PO Calibration offset | |
| pclc | ° | Calculate offset from Pol. value | ||
| phys | 0.000 .. 10.000 | ° | PO Pointing hysteresis | |
| pinv | NORMAL INVERTED | - | PO Sense invert | |
| pmax | -3600.000 .. 3600.000 | ° | PO Upper limit | |
| pmin | -3600.000 .. 3600.000 | ° | PO Lower limit | |
| pmot | DUAL-START DIR-START NONE | - | PO Motor driver type | |
| pofs | ######## | - | PO Pre scale offset | |
| ppos | r/o | -90.000 .. 90.000 | ° | PO Pointing |
| praw | r/o | 00000000 .. FFFFFFFF | - | PO raw pointing |
| psca | 0.000000 .. 100000.000000 | - | PO Calibration scale | |
| psen | SSI-13B SSI-13G SSI-17B SSI-17G SSI-18B SSI-18G SSI-19B SSI-19G SSI-20B SSI-20G SSI-24B SSI-24G RESOLVER VOLTAGE NONE | - | PO Position sensor type | |
| psth | 0.0 .. 10.0 | ° | PO Low speed threshold | |
| pstp | 0.000 .. 90.000 | ° | PO Step delta | |
| ptar | -90.000 .. 90.000 | ° | Pol. target value | |
| ptot | 0 .. 32000 | msec | PO Motor timeout | |
| roll | r/o | -90.0 .. 90.0 | ° | Roll angle |
| rolo | -90.0 .. 90.0 | ° | Roll offset | |
| save | 0 .. 99 | - | Save target | |
| scnt | r/o | 0 .. 65535 | - | Save count |
| scon | - | SNMP system contact | ||
| slee | r/o | 0 .. 65535 | sec | Sleep time up to the next tracking action |
| sloc | - | SNMP system location | ||
| smth | 0 .. 6 | h | Smoothing interval | |
| snam | - | SNMP system name | ||
| srno | r/o | character string | - | Device serial no |
| step | command | - | Step move 5) | |
| stim | character string | - | Date / time 6) | |
| sver | r/o | character string | - | Software version |
| tage | r/o | #.# | h | Tracking model age |
| tcyc | 1 .. 1638 | sec | Tracking cycle time | |
| tdly | 100 .. 9999 | msec | Recovery delay | |
| tdsc | 0..99 / character string | - | Target description 7) | |
| temp | r/o | #.# | °C | Temperature |
| tflt | r/o | 00 .. FF | - | Tracking fault bits (described below) |
| thrs | r/o | #.# | h | Tracking memory |
| time | r/o | character string | - | Date / time 6) |
| tmod | OFF STEP ADAPTIVE MEMORY PROGRAM | - | Tracking mode 8) | |
| tnam | character string | - | Target name | |
| trst | 1 .. 1 | - | Reset tracking memory | |
| trty | NEVER ONCE FOREVER | - | Tracking retry on fault | |
| trty | NEVER ONCE FOREVER | - | Tracking retry on fault | |
| tsta | r/o | character string | - | Tracking state |
| tstp | 1 .. 100 | % | Tracking step size | |
| wdog | OFF ON | - | ON Sends a heatbeat to the AUX 8 output |
Remarks:
1) Software capabilities are summed from the following values:
| value | description |
|---|---|
| 1 | step track & adaptive tracking included |
| 2 | polar mount antennas supported |
| 4 | memory tracking included |
2) ACU variants with compass support provide other choices beside NONE for this parameter. 3) ACU variants with GPS support provide other choices beside NONE for this parameter. 4) ACU variants with inclinometer support provide other choices beside NONE for this parameter. 5) for single step move, use following commands:
| command | description |
|---|---|
| ll | Azimuth large step left |
| l | Azimuth small step left |
| r | Azimuth small step right |
| rr | Azimuth large step right |
| dd | Elevation large step down |
| d | small step down |
| u | small step up |
| uu | large step up |
| c | Polarisation clockwise step |
| cc | Polarisation counter clockwise step |
6) Use the 'time' parameter to read the actual time used by the ACU. Use the 'stim' parameter to set the time. 7) This parameter reports the description (name and pointing angles) for a given target number. 'tdsc=12' e.g. is interpreted by the ACU as a request to report the target description for target no. 12. The reply to this command is something like 'tdsc=ASTRA 19.2 (167.335/43.412/-15.455)' 8) ACU variants without tracking support only accept NONE for this parameter.
Bit definitions in 'ibit' (input bits and flags):
The 'ibit' value is returned as a 32 bit hexadecimal number. The bit number 0 means the least significant bit, bit number 31 the most significant bit in this number.
| no. | name | description |
|---|---|---|
| 0 | IN_PLHLM | polarization hi limit |
| 1 | IN_PLLLM | polarization lo limit |
| 2 | IN_PLFLT | polarization motor fault |
| 3 | IN_HBFLT | antenna hub fault |
| 4 | IN_AUX1 | reserved |
| 5 | IN_AUX2 | reserved |
| 6 | IN_AUX3 | reserved |
| 7 | IN_AUX4 | reserved |
| 8 | IN_AZHLM | azimuth hi limit |
| 9 | IN_AZLLM | azimuth lo limit |
| 10 | IN_AZFLT | azimuth motor fault |
| 11 | IN_EMERG | emergency stop |
| 12 | IN_ELHLM | elevation hi limit |
| 13 | IN_ELLLM | elevation lo limit |
| 14 | IN_ELFLT | elevation motor fault |
| 15 | IN_COPEN | cabinet open |
| 16 | AZMOV | azimuth moving |
| 17 | ELMOV | elevation moving |
| 18 | PLMOV | polarization moving |
| 19 | MOVING | moving summary bit |
| 20 | AZTOT | azimuth timeout |
| 21 | ELTOT | elevation timeout |
| 22 | PLTOT | polarization timeout |
| 23 | TIMEOUT | timeout summary bit |
| 24 | TRKPEAK | peaking in progress |
| 25 | LOWBEAC | low beacon signal |
| 26 | BCRXFLT | beacon receiver fault |
| 27 | LIMIT | limit switch summary |
| 28 | AZSTOP | azimuth stopped |
| 29 | ELSTOP | elevation stopped |
| 30 | PLSTOP | polarization stopped |
| 31 | GPSFLT | GPS receiver fault |
Bit definitions in 'obit' (output bits):
The 'obit' value is returned as a 32 bit hexadecimal number. The bit number 0 means the least significant bit, bit number 31 the most significant bit in this number.
| no. | name | description |
|---|---|---|
| 0 | OUT_AZ_FWD | azimuth motor forward |
| 1 | OUT_AZ_REV | azimuth motor reverse |
| 2 | OUT_AZ_SPD1 | azimuth motor low speed |
| 3 | OUT_AZ_SPD2 | azimuth motor hi speed |
| 4 | OUT_AZ_RESET | azimuth motor driver reset |
| 5 | OUT_AZ_RESERVE | reserved for extended motor control |
| 6 | OUT_AUX1 | not used |
| 7 | OUT_AUX2 | not used |
| 8 | OUT_EL_FWD | elevation motor forward |
| 9 | OUT_EL_REV | elevation motor reverse |
| 10 | OUT_EL_SPD1 | elevation motor low speed |
| 11 | OUT_EL_SPD2 | elevation motor hi speed |
| 12 | OUT_EL_RESET | elevation motor driver reset |
| 13 | OUT_EL_RESERVE | reserved for extended motor control |
| 14 | OUT_AUX3 | not used |
| 15 | OUT_AUX4 | not used |
| 16 | OUT_POL_FWD | polarization motor forward |
| 17 | OUT_POL_REV | polarization motor reverse |
| 18 | OUT_POL_SPD1 | polarization motor low speed |
| 19 | OUT_POL_SPD2 | polarization motor hi speed |
| 20 | OUT_POL_RESET | polarization motor driver reset |
| 21 | OUT_POL_RESERVE | reserved for extended motor control |
| 22 | OUT_AUX5 | not used |
| 23 | OUT_AUX6 | not used |
| 24 | OUT_SUMMARY | summary fault relay (1 == OK) |
| 25 | OUT_TRACKING | tracking fault relay (1 == OK) |
| 26 | OUT_BCPR1 | reserved for beacon receiver frequency select |
| 27 | OUT_BCPR2 | reserved for beacon receiver frequency select |
| 28 | OUT_BCPR3 | reserved for beacon receiver frequency select |
| 29 | OUT_BCPR4 | reserved for beacon receiver frequency select |
| 30 | OUT_AUX7 | not used |
| 31 | OUT_AUX8 | not used |
The meaning of the 'FWD' / 'REV' motor control outputs depend on the motor control mode set for this axis.
AUX output control
By means of the 'auxo' command, the ACU's auxiliary outputs may be controlled. The command expects two numbers, separated by a comma character. The first one is the AUX output number (1..8), the second one is 0 or 1 to switch this output off or on. Example:
auxo=2,1
switches the AUX2 output on.
Bit definitions in 'tflt' (tracking faults):
The 'tflt' value is returned as a 8 bit hexadecimal number. The bit number 0 means the least significant bit, bit number 7 the most significant bit in this number.
| no. | name | description |
|---|---|---|
| 0 | APEAKFLT | azimuth peaking fault |
| 1 | EPEAKFLT | elevation peaking fault |
| 2 | MODELFLT | model match fault |
| 3 | JITTRFLT | jitter fault |
| 4 | -/- | not used |
| 5 | -/- | not used |
| 6 | -/- | not used |
| 7 | -/- | not used |
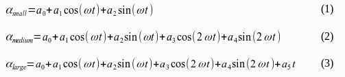
Tracking coefficients on 'acoe' / 'ecoe':
In adaptive tracking mode the 'acoe' / 'ecoe' commands may be used to read the coefficients of the actual model. The coefficients are returned as a comma separated list of numbers in scientific notation. The number o f coefficients returned depends on the size of the model:
SMALL: a0,a1,a2 (1) MEDIUM: a0,a1,a2,a3,a4 (2) LARGE: a0,a1,a2,a3,a4,a5 (3)
If the beacon signal drops below it's theshold, the antenna movement is calculated from these coefficients using the formulas shown below:
